《二十四山九星消峰纳水秘本》
2022-09-30 23:45:20 风水堪舆
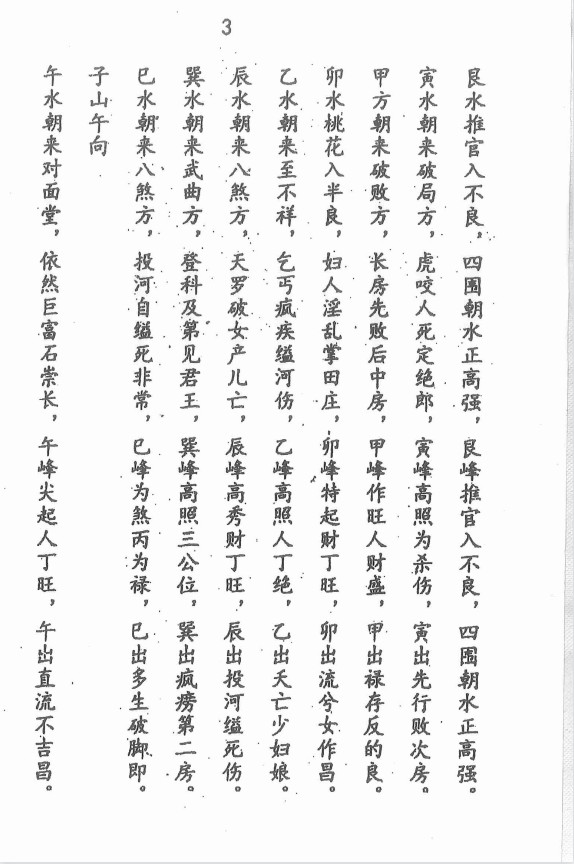
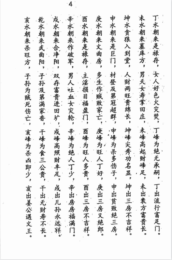
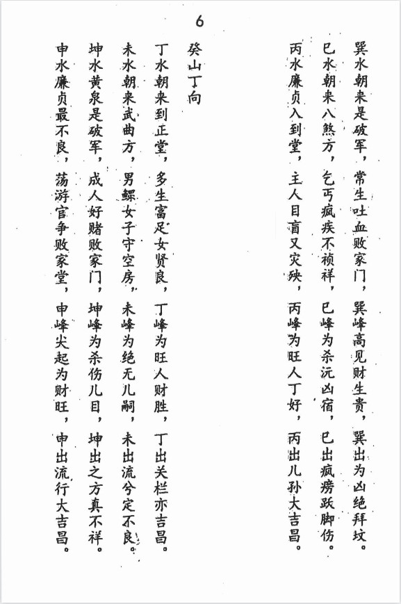
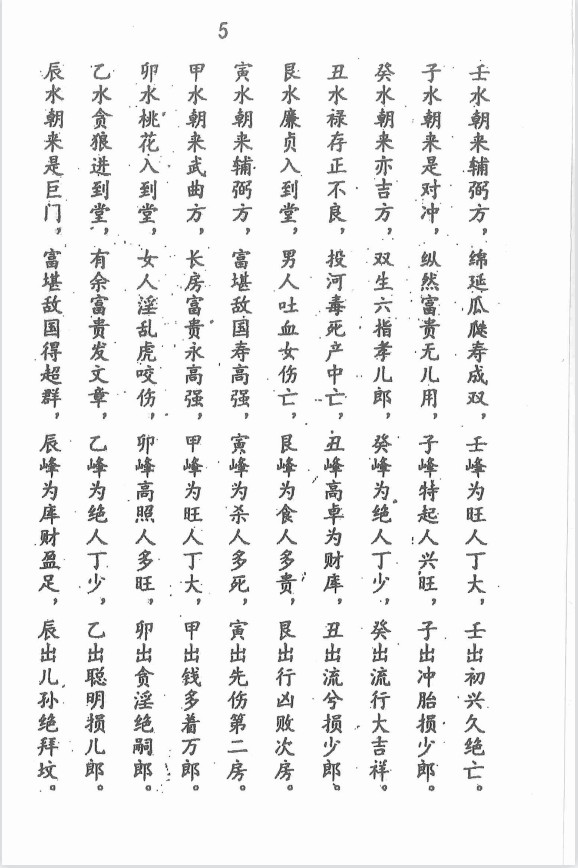
《二十四山九星消峰纳水秘本》,三僚杨公地理堪舆秘本。
pdf电子版大小:10.1MB,合计68页
查看下载地址:
免责声明:本站所有信息均来源于互联网搜集,并不代表本站观点,本站不对其真实合法性负责。如有信息侵犯了您的权益,请告知,本站将立刻删除。
《二十四山九星消峰纳水秘本》,三僚杨公地理堪舆秘本。
pdf电子版大小:10.1MB,合计68页
免责声明:本站所有信息均来源于互联网搜集,并不代表本站观点,本站不对其真实合法性负责。如有信息侵犯了您的权益,请告知,本站将立刻删除。