《三盘串线一贯珠》,纂註二十四山各线分金秘诀,清嘉庆年间名师邹理章著,全本共69页。 前清嘉庆丁卯年间,麻...
《廿四山配六甲吉凶》,清代李德翰抄集斗首明课便览,全本共106页。 再表日课,二十四山六十日 兼左兼右要分...
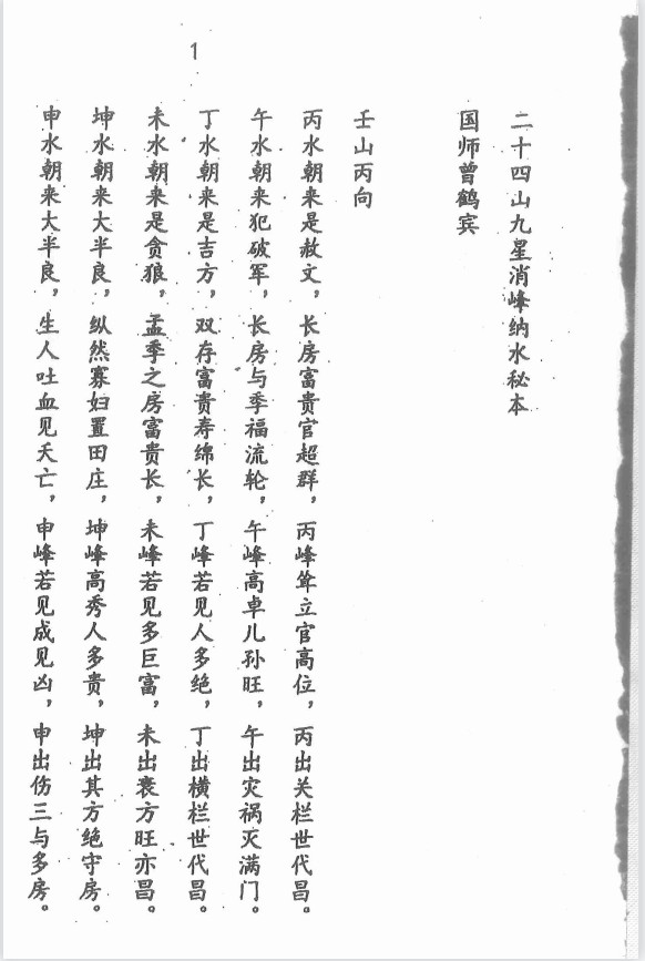
《二十四山分金诀》,李成恒抄,内容主要为二十四山分金诀,杨公二十四山取穴法等。全本共76个双面,合计152...
《三僚二十四山龙口演海分金秘本》,曾广钦编著,内传核心演海分金内容,主要详细的写出了三僚演海分金的运用方法...
《二十四山救法害法註明,二十四山作法尺寸註明,二十四山灶位厕方碓方畜位仓位註明》,赵齐氏著,全本97页。 ...
《二十四山起龙运斗首择日秘旨》,民国庚申十三年孟秋月吉旦,胡荣盛字㞶珍抄写取吉通书一本,付于子孙留传,全本...
《杨救贫传授阳宅二十四山》,内容包含:阳宅二十四山明堂论,开门、天井放水、门楼、厕所等方位吉凶论,碓屋方向...
《三盘串线一贯珠》,纂註二十四山各线分金秘诀,清嘉庆年间名师邹理章著,全本共69页。 前清嘉庆丁卯年间,麻...
《廿四山配六甲吉凶》,清代李德翰抄集斗首明课便览,全本共106页。 再表日课,二十四山六十日 兼左兼右要分...
《二十四山分金诀》,李成恒抄,内容主要为二十四山分金诀,杨公二十四山取穴法等。全本共76个双面,合计152...
《三僚二十四山龙口演海分金秘本》,曾广钦编著,内传核心演海分金内容,主要详细的写出了三僚演海分金的运用方法...
《二十四山救法害法註明,二十四山作法尺寸註明,二十四山灶位厕方碓方畜位仓位註明》,赵齐氏著,全本97页。 ...
《二十四山起龙运斗首择日秘旨》,民国庚申十三年孟秋月吉旦,胡荣盛字㞶珍抄写取吉通书一本,付于子孙留传,全本...
《杨救贫传授阳宅二十四山》,内容包含:阳宅二十四山明堂论,开门、天井放水、门楼、厕所等方位吉凶论,碓屋方向...
《斗首地命诀》二十四山催福吉凶元炁作用,民国十一年雷立藻记,择日择吉日课抄本,全本共39个双面,合计78页...
民间珍藏,天星二十四山《催丁财贵秘法》,此书不传无义汉只度天下有情人,全本共146页。 内容包括:用真大阳...
《杨曾二仙师定二十四山分金诀》,三僚风水杨救贫曾文辿分金水法,王万福堂藏版,全本共62个双面,合计124页...
《地理二十四山分金催补》民间手抄本,作者未知,全书共80个筒子页,合计160面。 内容包含,二十四山正体五...
《杨公秘传二十四山妙断总诀》,正宗江西赣州三僚廖家廖上勤(廖上琴)手抄本,颖川堂民国已卯年抄本,全书共54...
《二十四山三元总断》抄本,作者及年代不详,pdf电子版大小:113MB,合计61个筒子页(双面122页),...